GALLENGANGSKREBS

Das Cholangiozelluläre Karzinom beschreibt eine bösartige Tumorerkrankung des Gallengangs und stellt eine extrem seltene Krebsform dar. In den meisten Fällen wird die Erkrankung erst in einem inoperablen und bereits gestreuten Stadium diagnostiziert. Dazu ist sie äußerst rückfallanfällig. 

 

 

Bei inoperablen Tumoren liegt das 5-Jahres-Überleben hier bei unter 5%, bei operablen Tumoren erhöht sich dieser Anteil auf 33%. Durch die regionale Chemotherapie kann die Lebensqualität der Betroffenen signifikant erhöht werden.


Welche Symptome verursacht Gallengaskrebs?

Typische Symptome von Gallengangskrebs sind eine Gelbfärbung der Haut und der Augen (Gelbsucht), starker Juckreiz, heller Stuhl und dunkler Urin. Hinzu kommen häufig ein Druckgefühl oder Schmerzen im rechten Oberbauch sowie eine tastbare Vergrößerung der Gallenblase. 

Viele Betroffene leiden unter ungewolltem Gewichtsverlust, Appetitlosigkeit, Übelkeit und allgemeiner Schwäche.



Ärztin im weißen Kittel erklärt einer Patientin ein Röntgenbild in einem modernen Behandlungsraum im Krankenhaus.

Studie


Regionale Chemotherapie beim diffus metastasierten Gallengangskarzinom

Zusammenfassung

Hintergrund:
Verfügbare Therapieoptionen beim diffus metastasierten Gallengangskarzinom zeigen nur unbefriedigende Ergebnisse. In der folgenden Studie evaluierten wir die Wirksamkeit der Regionalen Chemotherapie beim diffus metastasierten Gallengangskarzinom.

 

Methoden:

Untersucht wurden 36 Patienten mit diffus metastasiertem Gallengangskarzinom. Zehn Patienten hatten eine Leberresektion hinter sich und 14 eine erfolglose systemische Chemotherapie. Bei 75 % der Patienten wurden mindestens jeweils drei Zyklen regionaler Chemotherapie durchgeführt. Das Ansprechen wurde anhand von Standardkriterien (RECIST) evaluiert und zudem Mortalität, Morbidität und die Überlebensrate erhoben.

 

Ergebnisse:
Es trat keine behandlungsbedingte Sterblichkeit (Mortalität) auf. Nebenwirkungen in Form einer Lymphfistel im Bereich der Leiste, welche konservativ erfolgreich behandelt werden konnte, traten nur bei 56 % der Patienten auf. Es traten keine schweren hämatologischen Komplikationen auf. Bei 38 % wurde ein partielles Ansprechen des Tumors beobachtet, 41 % zeigten eine stabile und 21 % eine progressive Erkrankung. Die mittlere Überlebensdauer betrug 23 Monate, das therapiespezifische Überleben 12 Monate.

Schlussfolgerung:

 

Die Regionale Chemotherapie ist eine praktikable sowie sichere Therapieoption, die den anderen derzeit verfügbaren therapeutischen Optionen bei metastasiertem Gallengangskarzinom zudem überlegen ist.


Einführung

Gallengangskarzinome (Cholangiozelluläres Karzinom = CCC) sind eine seltene Krebserkrankung, die meist im lokal fortgeschrittenen, nicht operativ entfernbaren Stadium diagnostiziert wird oder bereits metastasiert und bei der ein Rückfall häufig erfolgt.

 

Das 5-Jahres-Überleben liegt bei inoperablen Erkrankungen bei < 5 % und bei operablen Erkrankungen bei 33 %, die mittlere Überlebensdauer (OS) mit der Standardbehandlung beträgt bei nicht operablen Patienten nur 5 bis 7 Monate.

 

Die Regionale Chemotherapie stellt hier einen onkologisch effektiven Ansatz mit mildem Toxizitätsprofil und sehr gutem Ansprechen des Tumors aufgrund hoher Zytostatikakonzentration dar. Die Therapie kann auf bestimmte Regionen fokussiert werden und damit die Zytostatikakonzentration am Tumor im Vergleich zur systemischen Chemotherapie bei Verwendung von nur 20-50 % der Wirkstoffmenge hoch konzentriert werden.

Mittels der im Anschluss an jede Behandlung durchgeführten Chemofiltration kann die systemische Belastung insgesamt sehr gering gehalten werden. Die Lebensqualität der Patienten wird somit nicht beeinträchtigt. 

Die Regionale Chemotherapie ist bereits bei vielen Krebsarten sehr wirksam, zum Nachweis beim fortgeschrittenen Gallengangskarzinom berichten wir hier über unsere Erfahrung mit 36 Patienten, die nach Versagen der systemischen Chemotherapie mit einer Regionalen Chemotherapie behandelt wurden.


Ergebnisse kompakt


Nebenwirkungen

  • Es trat keine behandlungsbedingte Sterblichkeit auf, ein Patient mit fortschreitender Erkrankung (PD) verstarb in Folge einer Sepsis.
  • Die hauptsächliche Nebenwirkung war das Auftreten einer Lymphfistel im Bereich der Leiste bei 14 (39 %) Patienten, diese konnten konservativ erfolgreich behandelt werden.
  • Bei drei Patienten machten Wundhämatome eine operative Wundrevision erforderlich.
  • Allgemeine Nebenwirkungen wie Übelkeit und Müdigkeit traten selten und mild auf ohne erforderliche zusätzliche Medikation.
  • Vier (11 %) und drei (8 %) Patienten zeigten eine vorübergehende Leuko- bzw. Thrombozytopenie mäßigen Schweregrads (Grad 2).
  • Haarausfall, Hand-Fuß-Syndrom und Neuropathie traten nie auf.
  • Schwere hämatologische Komplikationen traten ebenso nie auf.

Tumoransprechen

  • Das Ansprechen auf die Behandlung wurde gemäß den RECIST-Kriterien (Response Evaluation Criteria in Solid Tumors) erfasst, indem typischerweise nach zwei Therapiezyklen ein CT durchgeführt wurde (Fig. 2).
  • 38 % hatten ein partielles Ansprechen (PR), 41 % eine stabile Erkrankung (SD) und 21 % eine progressive Erkrankung (PD).
  • Der klinikspezifische Lebensqualitäts-Indikator wurde als klinischer Ansprechparameter während des Krankenhausaufenthaltes vor und nach der Regionalen Chemotherapie dokumentiert. Diese Evaluierung ergab ein vollständiges Ansprechen (CR) bei 8 %, PR bei 31 %, SD bei 43 % und PD bei 18 % der Patienten.

Gestapeltes Balkendiagramm zum Ansprechen der Patienten auf verschiedene Therapiezyklen (Z1–Z10), unterteilt in partielles Ansprechen (PR), stabile Erkrankung (SD) und progressive Erkrankung (PD).

Fig. 2 Ansprechen der Patienten auf Therapiezyklen

 

 

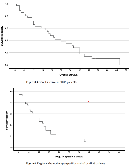
Überlebenszeit

  • Das mittlere Gesamtüberleben (OS) betrug 23 Monate, 39 % der Patienten überlebten über 2 Jahre (Abb. 3).
  • Die 1-Jahresüberlebensrate betrug 67 %, 2-Jahre 42 % und 3-Jahre 28 %.
  • Das mittlere Gesamtüberleben ab dem Zeitpunkt der ersten Behandlung mit Regionaler Chemotherapie betrug 12 Monate, 28 % der Patienten lebten noch nach 15 Monaten (Abb.4).
  • Die 1-Jahresüberlebensrate ab Beginn der Regionalen Chemotherapie betrug 44 %, 2-Jahre 17 % und 3-Jahre 11 %.
  • Eine vorangegangene Leberresektion oder systemische Chemotherapie hatte keinen signifikanten Einfluss auf das Ergebnis.
  • Bei systemisch nicht vortherapierten Patienten ohne Leberresektion bedingte die Regionale Chemotherapie eine beträchtliche mediane Überlebenszeit von 12 Monaten (16 Patienten, 44 %).

 

 


Zwei Kaplan-Meier-Kurven: oben Gesamtüberleben aller 36 Patienten, unten Überleben ab Beginn der regionalen Chemotherapie (RegCTX) bei denselben Patienten.

Abb 3. Überlebenszeit der Patienten

 

Schlussfolgerung  

 

Die Regionale Chemotherapie bietet einen mit geringer Toxizität assoziierten effektiven Therapieansatz für Patienten mit fortgeschrittenem, metastasiertem Gallengangskarzinom mit einem klaren, den aktuell verfügbaren Therapieoptionen überlegenen Überlebensvorteil. Krankheitsstadien geeignet.


Studiendesign und klinisches Setting


Von den 36 behandelten Patienten hatten zehn (28 %) eine Leberresektion hinter sich und zeigten einen diffusen Rückfall der Erkrankung. Bei 14 (39 %) Patienten war eine systemische Chemotherapie fehlgeschlagen, ein Patient hatte sich einer transarteriellen Chemoembolisation unterzogen und 16 Patienten waren nicht vortherapiert.

Metastasen fanden sich vorwiegend an Lymphknoten des Bauchraums, Brustraums und der Gebärmutter, sowie in der Leber und im Peritoneum. Der Allgemeinzustand der Patienten war überwiegend schlecht (Karnofsky-Index < 70 %; ECOG ≥ 2 bei fast der Hälfte) 

 

Weitere Details dazu und zu der jeweiligen Medikation sind der Originalstudie zu entnehmen.

 

 

 

Originalstudie zum Download:

Download
Vashist, Aigner et al_Therapeutic Effect
Adobe Acrobat Dokument 572.9 KB