CHOLANGIOZELLULÄRES KARZINOM


Studie


Regionalen Chemotherapie beim diffus metastasierten Cholangiozellulären Karzinom

Hintergrund

Derzeit verfügbare Therapieoptionen beim diffus metastasierten Cholangiozellulären Karzinom (CCC) bringen nur unbefriedigende Ergebnisse. In der folgenden Studie evaluierten wir die Wirksamkeit der Regionalen Chemotherapie unter Anwendung der arteriellen Infusion (AI), der Isolierten hypoxischen Abdomenperfusion (HAP), der abdominellen Oberbauchperfusion (Upper Abdominal Perfusion = UAP) und der isolierten Thoraxperfusion (ITP) bei 36 Patienten mit metastasiertem perihilärem und intrahepatischem Cholangiozellulären Karzinom.

 
Methoden

Zehn Patienten hatten eine Leberresektion hinter sich und 14 Patienten eine erfolglose systemische Chemotherapie. Insgesamt 189 Zyklen Regionaler Chemotherapie (90 AI, 74 UAP, 13 HAP und 12 ITP) wurden mit Cisplatin allein oder mit Adriamycin und Mitomycin C durchgeführt, bei 75 % der Patienten mindestens drei Zyklen. Das Ansprechen wurde anhand der RECIST-Kriterien evaluiert und zudem Mortalität, Morbidität und die Überlebensrate erhoben.

 
Ergebnisse

Es trat keine behandlungsbedingte Mortalität auf. Die Gesamtmorbidität betrug 56 % und wurde vom Auftreten von Lymphfisteln an der inguinalen Zugangsstelle dominiert. Es wurden keine hämatologischen Komplikationen mit Schweregrad III oder IV beobachtet. Bei 38 % erfolgte teilweises Tumoransprechen, 41 % zeigten eine stabile und 21 % eine progressive Erkrankung. Die mediane Überlebensdauer betrug 23 Monate (95 % KI 16,3–29,7), das therapiespezifische Überleben 12 Monate (95 % KI 6,5–17,5) bei therapienaiven Patienten, aber auch bei Patienten, bei denen eine systemische Chemotherapie zuvor fehlgeschlagen war.

Schlussfolgerung

Die Regionale Chemotherapie ist praktikabel, sicher und den sonst derzeit verfügbaren therapeutischen Optionen bei metastasiertem Cholangiozellulären Karzinom überlegen. Die Wirksamkeit der Regionalen Chemotherapie sollte in einem größeren Patientenkollektiv mit diffus metastasierten CCCs bestimmt werden, sowie in frühen Stadien der Erkrankung, insbesondere bei anfänglich nicht resektablen, aber potenziell resektablen Patienten.


Chirurgen in OP-Kleidung und Mundschutz während einer Operation im Operationssaal.

Einführung


Cholangiozelluläre Karzinome (CCCs) sind eine seltene, aus dem Gallengangsepithel hervorgehende Krebserkrankung. Der anatomischen Lage entsprechend gibt es unterschiedliche Therapieansätze. Krebserkrankungen des distalen Gallengangs werden mit dem Whipple-Verfahren behandelt, während perihiläre und intrahepatische CCC eine Leberresektion erfordern. Intrahepatische und perihiläre CCCs werden meist im lokal fortgeschrittenen, nicht resektablen Stadium diagnostiziert oder bereits metastasiert. Zudem ist ein frühes Rezidiv selbst bei resezierten Patienten üblich.

 

Die 5-Jahres-Überlebensrate beträgt < 5 % bei inoperablen und 33 % bei resektablen Erkrankungen, die mediane Überlebensdauer (OS) mit der Best Supportive Care (BSC) beträgt bei nicht resezierten Patienten nur 5 bis 7 Monate.

Obwohl umfassende Studien fehlen, ist die systemische Chemotherapie mit einer Kombination von Gemcitabin und Cisplatin der etablierte Goldstandard in der Erstlinie im palliativen Setting. In der Zweitlinie sind systemische Therapie-Standards nicht definiert und das mediane Gesamtüberleben liegt bei sechs Monaten oder darunter.

 

Die Regionale Chemotherapie ist ein onkologischer Ansatz mit mildem Toxizitätsprofil und sehr gutem Ansprechen des Tumors aufgrund hoher Zytostatikakonzentrationen in einem isolierten Perfusionsbett. Die Therapie kann auf bestimmte Regionen fokussiert werden und als isolierte hypoxische Abdomenperfusion (HAP), Oberbauchperfusion (UAP), isolierte Thoraxperfusion (ITP) und intraarterielle Infusion (AI) durchgeführt werden. Damit kann die Wirkstoffkonzentration am Tumor im Vergleich zu einer systemischen Chemotherapie bei Anwendung von nur 20-50 % der Wirkstoffmenge hoch konzentriert werden. Die Möglichkeit, eine Chemofiltration durchzuführen, ermöglicht zudem die systemische Belastung und die kumulative Belastung z. B. bei Mitomycin und Adriamycin insgesamt sehr gering zu halten. 

Der bei vielen Krebsarten erbrachte Nachweis der Wirksamkeit der Regionalen Chemotherapie fehlt bislang noch beim fortgeschrittenen CCC. Hier berichten wir über unsere institutionelle Erfahrung mit 36 Patienten mit fortgeschrittener Erkrankung, die nach Versagen der systemischen Chemotherapie mit einer Regionalen Chemotherapie behandelt wurden.

 


Studiendesign und klinisches Setting


Es wurden 36 Patienten mit weit fortgeschrittenem, metastasiertem CCC behandelt, von denen sich zehn (28 %) nach einer Leberresektion mit einem diffusen Rückfall der Erkrankung vorstellten. 14 (39 %) Patienten hatten zuvor eine fehlgeschlagene systemische Chemotherapie, hauptsächlich basierend auf Gemcitabin oder Gemcitabin/Cisplatin, ein Patient hatte sich einer transarteriellen Chemoembolisation unterzogen und 16 Patienten waren therapienaiv. Metastasen fanden sich vorwiegend an retroperitonealen, mediastinalen und zervikalen Lymphknoten, sowie in der Leber und im Peritoneum. Ein Drittel (N = 12) der Patienten hatte einen Choledochus-Stent implantiert oder benötigte eine Stent-Implantation (N = 3) vor Beginn einer Regionalen Chemotherapie. Der Karnofsky-Index war unter 70 % und ECOG ≥ 2 bei fast der Hälfte der Studienpopulation
(Tabelle 1).

 

Details zur Methodik der Behandlung, der Art und Dosierung der Chemotherapeutika und den Behandlungszyklen sind der Originalstudie zu entnehmen.

 

Tabelle mit Patientenmerkmalen, die Alter, Geschlecht, Metastasierungsstellen und Behandlungsdetails der 36 Patienten mit metastasiertem Cholangiokarzinom zeigen.
Tabelle mit Patientenmerkmalen, die Alter, Geschlecht, Metastasierungsstellen und Behandlungsdetails der 36 Patienten mit metastasiertem Cholangiokarzinom zeigen.
Download
Vashist, Aigner et al_Therapeutic Effect
Adobe Acrobat Dokument 572.9 KB


Ergebnisse kompakt


Nebenwirkungen 

  • Es trat keine therapieassoziierte Mortalität auf, ein Patient mit fortschreitender Erkrankung (PD) entwickelte nach dem dritten Zyklus eine Sepsis und verstarb.
  • Die hauptsächliche Nebenwirkung war das Auftreten einer inguinalen Lymphfistel im Bereich der Zugangsstelle bei 14 (39 %) Patienten, diese konnten konservativ erfolgreich behandelt werden.
  • Bei drei Patienten machten Wundhämatome eine operative Wundrevision erforderlich.
  • Allgemeine Nebenwirkungen wie Übelkeit und Müdigkeit traten selten und mild auf ohne erforderliche zusätzliche Medikation.
  • Vier (11 %) und drei (8 %) Patienten zeigten eine vorübergehende Leuko- bzw. Thrombozytopenie Grad 2.
  • Haarausfall, Hand-Fuß-Syndrom und Neuropathie traten nicht auf.
  • Hämatologische Komplikationen mit Schweregrad 3 oder 4 traten nicht auf.

Tumoransprache

  • Das Ansprechen auf die Behandlung wurde gemäß den RECIST-Kriterien (Response Evaluation Criteria in Solid Tumors) erfasst, indem typischerweise nach zwei Therapiezyklen ein CT durchgeführt wurde, wovon insgesamt 61 erfolgten (Fig. 2).
  • 38 % der Patienten hatten eine partielle Response (PR), 41 % eine stable-disease (SD) und 21 % eine progressive Erkrankung (PD).
  • Ein Fortschreiten der Erkrankung (progressive-disease) war in den früheren Zyklen weniger häufig, nahm aber anschließend zu.
  • Der klinikspezifische Lebensqualitäts-Indikator wurde als klinischer Ansprechparameter während des Krankenhausaufenthaltes vor und nach der Regionalen Chemotherapie dokumentiert. Diese Evaluierung ergab ein vollständiges Ansprechen (CR) bei 8 %, PR bei 31 %, SD bei 43 % und PD bei 18 % der Patienten.
Gestapeltes Balkendiagramm zum Ansprechen der Patienten auf verschiedene Therapiezyklen (Z1–Z10), unterteilt in partielles Ansprechen (PR), stabile Erkrankung (SD) und progressive Erkrankung (PD).

Fig. 2 Tumoransprache der Patientengruppen

 

 

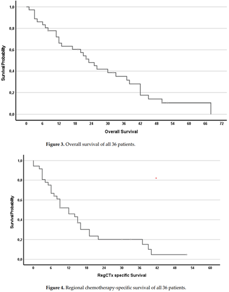
Überlebenszeit:

  • Das mediane Gesamtüberleben (OS) betrug 23 Monate (95 % KI 16,3–29,7), 14 (39 %) Patienten überlebten > 2 Jahre (Abb. 3).
  • Die 1-Jahresüberlebensrate betrug 67 %, 2-Jahre 42 und 3-Jahre 28 %.
  • Der mediane Überlebensvorteil ab dem Zeitpunkt der ersten Behandlung mit Regionaler Chemotherapie betrug 12 Monate (95 % KI 6,5–17,5), 10 (28 %) Patienten waren noch nach 15 Monaten am Leben (Abb.4).
  • Die 1-Jahresüberlebensrate ab Beginn der Regionalen Chemotherapie betrug 44 %, 2-Jahre 17% und 3-Jahre 11 %.
  • Eine Subgruppenanalyse zeigte keine signifikanten Unterschiede bezüglich einer vorangegangener Leberresektion, einer systemischen Chemotherapie oder deren Fehlen.
  • Bei systemisch nicht vortherapierten Patienten ohne Leberresektion bedingte die Regionale Chemotherapie eine beträchtliche mediane Überlebenszeit von 12 Monaten (95 % KI 0–29) bei 16 (44 %) der Patienten.
Zwei Kaplan-Meier-Kurven: oben Gesamtüberleben aller 36 Patienten, unten Überleben ab Beginn der regionalen Chemotherapie (RegCTX) bei denselben Patienten.

Abb. 3 und 4 Überlebenszeit der Patienten


Die Regionale Chemotherapie bietet einen mit geringer Toxizität assoziierten Therapieansatz für Patienten mit fortgeschrittenem, metastasiertem Cholangiozellulären Karzinom mit einem klaren, den aktuell verfügbaren Therapieoptionen überlegenen Überlebensvorteil. Zukünftige Studien sollten die Rolle der Regionalen Chemotherapie im multimodalen Management von Cholangiozellulären Karzinomen und in weniger fortgeschrittenen Krankheitsstadien, insbesondere in primär nicht resektablen, aber potenziell resektablen Fällen evaluieren.